2025 Vol. 41, No. 7

Academician Forum
Talking again about the academic concept and its practice of treating burns in wartime and wounds in peacetime
Fu Xiaobing
2025, 41(7): 609-612. doi: 10.3760/cma.j.cn501225-20250515-00227
Abstract:
The transformation and development of burn specialty is an important topic. In 2018, I officially published my academic concept which was treating burns in wartime and wounds in peacetime in the Chinese Journal of Burns. All works related to the view are progressing smoothly and have achieved important phased results. In the paper, I would like to further elaborate on the background for the proposal of this academic view, the academic concerns, the important phased results achieved, and the future development of this discipline. It is my hope that it can provide some reference for the transformation and development of burn specialty and its related disciplines.
Guideline and Consensus
Consensus on the Diagnosis and Treatment of Adult Necrotizing Fasciitis (2025 Edition)
Chinese Burn Association, Editorial Committee of Chinese Journal of Burns and Wounds, Burn Medicine Branch of China International Exchange and Promotion Association for Medical and Healthcare
2025, 41(7): 613-627. doi: 10.3760/cma.j.cn501225-20250329-00150
Abstract:
Necrotizing fasciitis (NF) is a rare but very aggressive soft tissue infection characterized by rapid necrosis of fascia and subcutaneous tissue, which is difficult to diagnose early and progresses rapidly. If not treated promptly, NF can quickly evolve into systemic infection, sepsis, and multiple organ failure, and even lead to the patient's death. Currently, there is not a unified consensus or guideline for the diagnosis and treatment of NF, and many controversies and challenges remain in clinical practice for its diagnosis and treatment. To promote the standardization of NF diagnosis and treatment, Chinese Burn Association, Editorial Committee of Chinese Journal of Burns and Wounds, and Burn Medicine Branch of China International Exchange and Promotion Association for Medical and Healthcare, have jointly developed the Consensus on the Diagnosis and Treatment of Adult Necrotizing Fasciitis (2025 Edition) based on the latest national and international guidelines, literature, and clinical practice experience, in accordance with the principles of evidence-based medicine, and through repeated discussion. This consensus aims to provide scientific and standardized guidance for clinical diagnosis and treatment of NF.
Expert Forum
The role of debridement in wound repair: a comprehensive review from history to current situation
Wei Zairong, Jian Yang
2025, 41(7): 628-634. doi: 10.3760/cma.j.cn501225-20250225-00086
Abstract:
Debridement remains a fundamental procedure in wound repair. This paper reviewed the history, concept evolution, methods, and mechanisms in wound repair of debridement, and the cutting-edge progress of precise debridement technology. It also summarized and analyzed the challenges of debridement applied in wound repair, such as insufficient talent training, inadequate digitization and intelligence, difficulty in defining debridement extent, and insufficient clinical guideline and research, and proposed countermeasures. At present, multiple precision debridement technologies have emerged and been applied in clinical practice, while surgical debridement retains its irreplaceable status. Future research direction includes optimizing multimodal integration of these approaches to leverage their complementary benefits. Furthermore, with the deepening application of artificial intelligence in the medical field, debridement will gradually move towards digitalization and intelligence.
Original Article·Diabetic Wound and Chronic Wound
Mediated Mendelian randomization study on the causal relationship between human circulating inflammatory proteins and pressure injury mediated by human blood metabolites
Chen Tao, Gao Shaoying, Wei Zairong
2025, 41(7): 635-644. doi: 10.3760/cma.j.cn501225-20250331-00152
Abstract:
  Objective  To explore the causal relationship between human circulating inflammatory proteins and pressure injury (PI) mediated by human blood metabolites.  Methods  This study employed a method of analysis based on mediated Mendelian randomization (MR). Genome-wide association study data of 91 human circulating inflammatory proteins (14 824 samples), 1 400 human blood metabolites (8 299 samples), and PI (467 794 samples) were retrieved. A significance threshold was established and single nucleotide polymorphisms (SNPs) were used as instrumental variables with the influence of weak instrumental variables excluded. Forward two-sample MR (TSMR) was employed to analyze the causal relationship between circulating inflammatory proteins and PI. The inverse variance weighted (IVW) method served as the primary approach, and the results were validated using the weighted median method, MR-Egger regression, weighted mode method, and simple mode method (the specific analytical methods were the same below). For the SNPs of selected circulating inflammatory proteins, sensitivity analysis was employed, including heterogeneity which was evaluated by the Cochran Q test, horizontal pleiotropy which was evaluated by the MR-Egger intercept test and MR-PRESSO outlier test, and reliability which was evaluated via leave-one-out analysis. Based on reverse TSMR analysis, the IVW method, MR-Egger regression, weighted median method, simple mode method, and weighted mode method were employed to evaluate whether a reverse causal relationship exists between PI and the selected circulating inflammatory proteins. Forward TSMR was employed to analyze the causal relationship between selected circulating inflammatory proteins and 1 400 blood metabolites and to select the blood metabolites. For the SNPs of selected circulating inflammatory proteins, sensitivity analysis was employed as before. Forward TSMR was employed to analyze the causal relationship between selected blood metabolites and PI. For the SNPs of selected blood metabolites, sensitivity analysis was employed as before (except for the leave-one-out analysis). Finally, the mediation effect values and mediation effect ratios of selected blood metabolites in the mediation effect between selected circulating inflammatory proteins and PI were calculated.  Results  Five circulating inflammatory proteins and 59 blood metabolites were identified as meeting the exposure factor criteria, with the number of SNPs reaching the significance threshold ranging from 16 to 1 484. All the SNPs were confirmed as strong instrumental variables. The IVW method revealed significant causal relationships between interleukin-33 (IL-33), CUB domain-containing protein 1, IL-5, stem cell factor, and tumor necrosis factor and PI (with odds ratios of 1.29, 1.20, 1.25, 1.16, and 1.23, respectively, 95% confidence intervals of 1.07-1.55, 1.05-1.36, 1.04-1.51, 1.00-1.34, and 1.03-1.47, respectively, P < 0.05). The weighted median method confirmed significant causal relationships between IL-33 and IL-5 and PI (with odds ratios of 1.37 and 1.37, respectively, 95% confidence intervals of 1.05-1.79 and 1.04-1.80, respectively, P < 0.05). Among these, the most significant causal relationship was observed between IL-33 and PI (P < 0.01). The Cochran Q test indicated no significant heterogeneity in the SNPs of IL-33 which had significant causal relationship with PI (Q=18.78, P > 0.05). The MR-Egger intercept test (with intercept absolute value < 0.001, P > 0.05) and MR-PRESSO outlier test (with RSSobs value of 20.37, P > 0.05) both indicated no significant horizontal pleiotropy in the SNPs of IL-33 which had significant causal relationship with PI. The leave-one-out analysis showed that the significant causal relationship between IL-33 and PI was reliable after removing the SNPs one by one. No significant reverse causal relationships were observed between PI and IL-33 through the IVW method, MR-Egger regression, weighted median method, simple mode method, or weighted mode method (with odds ratios of 1.00, 1.00, 1.00, 1.00, and 1.01, respectively, 95% confidence intervals of 0.98-1.02, 0.96-1.03, 0.97-1.03, 0.93-1.08, and 0.94-1.09, respectively, P > 0.05). The IVW method revealed significant causal relationships between IL-33 and 59 blood metabolites (with odds ratios of 0.79-1.20, 95% confidence intervals lower limit range of 0.70-1.07 and upper limit range of 0.89-1.37, P < 0.05). The MR-Egger regression and weighted median method confirmed significant causal relationships between IL-33 and 8 and 10 blood metabolites, respectively (with odds ratios of 0.63-1.70 and 0.82-1.21, respectively, 95% confidence intervals lower limit ranges of 0.43-1.29 and 0.70-1.14, respectively, 95% confidence intervals upper limit ranges of 0.94-2.25 and 0.97-1.42, respectively, P values all < 0.05). Among these, the most significant causal relationship was observed between blood metabolite X-12798 and IL-33 (with odds ratio of 0.79, 95% confidence interval of 0.70-0.89, P < 0.05). The Cochran Q test indicated no significant heterogeneity in the SNPs of IL-33 which had significant causal relationship with blood metabolite X-12798 (Q=24.94, P > 0.05). The MR-Egger intercept test (with intercept absolute value of 0.012, P > 0.05) and MR-PRESSO outlier test (with RSSobs value of 27.45, P > 0.05) both indicated no significant horizontal pleiotropy in the SNPs of IL-33 which had significant causal relationship with blood metabolite X-12798. The leave-one-out analysis showed that the significant causal relationship between IL-33 and blood metabolite X-12798 was reliable after removing the SNPs one by one. The IVW method revealed significant causal relationship between blood metabolite X-12798 and PI (with odds ratio of 0.92, 95% confidence interval of 0.84-0.99, P < 0.05). The MR-Egger regression and weighted median method both confirmed significant causal relationship between blood metabolite X-12798 and PI (with odds ratios of 0.87 and 0.89, respectively, 95% confidence intervals of 0.77-0.98 and 0.80-0.99, respectively, P < 0.05). The Cochran Q test indicated no significant heterogeneity in the SNPs of blood metabolite X-12798 which had significant causal relationship with PI (Q=23.45, P > 0.05). The MR-Egger intercept test (with intercept absolute value of 0.015, P > 0.05) and MR-PRESSO outlier test (with RSSobs value of 26.01, P > 0.05) both indicated no significant horizontal pleiotropy in the SNPs of blood metabolite X-12798 which had significant causal relationship with PI. The mediation effect value was 0.02 and the mediation effect ratio was 8.27%.  Conclusions  Significant causal relationships are observed among human circulating inflammatory proteins, blood metabolites, and PI, with the association between circulating inflammatory protein IL-33 and PI being mediated by blood metabolite X-12798.
Effects and mechanisms of capsaicin on full-thickness skin defects in diabetic mice
Ma Hao, Min Peiru, Zhang Yixin, Cheng Liuhanghang
2025, 41(7): 645-654. doi: 10.3760/cma.j.cn501225-20250210-00055
Abstract:
  Objective  To investigate the effects and mechanisms of capsaicin on full-thickness skin defects in diabetic mice.  Methods  This study was an experimental study. Thirty-six male db/db mice aged 6-8 weeks were taken. Circular full-thickness skin defect wounds (6 mm in diameter) were created on their backs. According to the random number table method (grouping method same below), the mice were divided into control group, low-concentration capsaicin group, and high-concentration capsaicin group injected with normal saline, 10 μmol/L capsaicin solution, and 20 μmol/L capsaicin solution, respectively (n=12). Immediately after modeling and on day 2, 30 μL of the corresponding solution was injected locally into the wounds. At 4, 8, and 12 days after injury, wound healing status was observed grossly and the percentage of residual wound area was calculated. At 12 days after injury, the proportions of inflammatory cell, collagen fiber, and CD31-positive expression areas in the wound of mice were observed and detected respectively using hematoxylin and eosin staining, Masson staining, and immunohistochemical staining, and the protein expression of transient receptor potential vanilloid type 1 (TRPV1) in the wound tissue of mice was detected using Western blotting. Human primary fibroblasts were prepared from normal skin tissue obtained from 5 patients (2 male and 3 female patients, aged 20-45 years) who were admitted to the Department of Plastic and Reconstructive Surgery of Shanghai Ninth People's Hospital of Shanghai Jiao Tong University School of Medicine in October 2024. Cells in the logarithmic growth phase (passages 2-5) were used for subsequent experiments. Cells were divided into control group and high-concentration capsaicin group, cultured in complete media without or with 20 μmol/L capsaicin, respectively. After 24 hours of culture, differentially expressed genes (DEGs) between two groups were identified using the DESeq2 R package, followed by gene ontology (GO) and Kyoto encyclopedia of genes and genomes (KEGG) pathway enrichment analysis. The cells were divided into control group, low-concentration capsaicin group, and high-concentration capsaicin group, which were cultured in complete media without capsaicin, and with 10 μmol/L capsaicin, and with 20 μmol/L capsaicin, respectively. After 48 hours of culture, cell apoptosis status was assessed using flow cytometer. The protein expression levels of protein kinase B (Akt), phosphorylated Akt (p-Akt), mammalian target of rapamycin (mTOR), and phosphorylated mTOR (p-mTOR) in cells were detected by Western blotting, and the p-Akt/Akt and p-mTOR/mTOR ratios were calculated. At 12 days after injury, the protein expression levels of Akt, p-Akt, mTOR, and p-mTOR in the wounds of diabetic mice in both control group and high-concentration capsaicin group were detected by Western blotting, and the p-Akt/Akt and p-mTOR/mTOR ratios were calculated. All animal experiments used a sample size of 6, and all cellular experiments used 3.  Results  At 4 days after injury, the wounds of three groups of diabetic mice began to heal gradually, and the percentages of residual wound area of mice in both low-concentration capsaicin group and high-concentration capsaicin group were significantly lower than that in control group (with t values of 2.31 and 2.87, respectively, P < 0.05). At 8 days after injury, the percentages of residual wound area of mice in both low-concentration capsaicin group and high-concentration capsaicin group were significantly lower than that in control group (with t values of 2.55 and 5.38, respectively, P < 0.05). At 12 days after injury, the percentages of residual wound area of mice in both low-concentration capsaicin group and high-concentration capsaicin group remained significantly lower than that in control group (with t values of 3.31 and 6.24, respectively, P < 0.05), with the high-concentration capsaicin group showing a significantly greater reduction compared to that in low-concentration capsaicin group (t=3.42, P < 0.05). At 12 days after injury, the proportion of inflammatory cell area in the wound of mice in high-concentration capsaicin group was (6.2±1.8)%, significantly lower than (15.5±3.0)% in control group (t=6.45, P < 0.05). The proportion of collagen fiber area, proportion of CD31-positive expression area, and protein expression of TRPV1 in the wound of mice in high-concentration capsaicin group were significantly higher compared with those in control group (with t values of 5.48, 7.11, and 15.41, respectively, P < 0.05). After 24 hours of culture, 51 DEGs with significantly differential expression were detected in high-concentration capsaicin group of cells compared with those in control group (P < 0.05), with 31 upregulated and 20 downregulated genes. GO analysis showed that the significantly upregulated and significantly downregulated DEGs mainly participated in biological processes such as extracellular matrix (ECM) polymerization, extracellular structure organization, collagen metabolic process regulation, and ECM component secretion regulation. KEGG analysis showed that the significantly upregulated and significantly downregulated DEGs mainly participated in cell apoptosis-related pathways such as the phosphatidylinositol 3-kinase/Akt pathway and tumor necrosis factor signaling pathway. After 48 hours of culture, the cell apoptosis rates in both low-concentration capsaicin group and high-concentration capsaicin group were significantly lower than that in control group (with t values of 6.38 and 9.09, respectively, P < 0.05). The p-mTOR/mTOR ratio in cells in low-concentration capsaicin group was significantly higher than that in control group (t=2.74, P < 0.05). The p-Akt/Akt and p-mTOR/mTOR ratios in cells in high-concentration capsaicin group were significantly higher than those in control group (with t values of 4.43 and 3.33, respectively, P < 0.05). At 12 days after injury, the p-Akt/Akt and p-mTOR/mTOR ratios in wounds of diabetic mice in high-concentration capsaicin group were 0.470±0.044 and 0.549±0.106, respectively, which were significantly higher than 0.189±0.058 and 0.241±0.120 in control group (with t values of 6.67 and 3.36, respectively, P < 0.05).  Conclusions  Capsaicin can promote the healing of full-thickness skin defect wounds in diabetic mice by activating the Akt/mTOR signaling pathway in fibroblasts, thereby inhibiting apoptosis.
Clinical effects of tibial periosteal distraction combined with antibiotic bone cement in treating diabetic foot ulcer
Chen Yan, Feng Lei, Huang Ting, Zheng Yangyang, Ma Jie, Wu Jian
2025, 41(7): 655-664. doi: 10.3760/cma.j.cn501225-20241007-00375
Abstract:
  Objective  To explore the clinical effects of tibial periosteal distraction combined with antibiotic bone cement in treating diabetic foot ulcer.  Methods  The study was a retrospective observational study. From March 2021 to March 2024, 52 patients with diabetic foot ulcers who met the inclusion criteria were admitted to Gansu Provincial People's Hospital, including 25 males and 27 females, aged 34-77 years. According to the treatment methods used by the patients, they were divided into control group (22 cases) treated with antibiotic bone cement alone and combined group (30 cases) treated with tibial periosteal distraction combined with antibiotic bone cement. Toe amputation rate, limb amputation rate, length of hospitalization, and ulcer healing time-consuming of patients were recorded. Before the first treatment and 3 weeks after the last treatment, the ankle skin temperature and ankle-brachial index of the affected foot were measured routinely, the pain of the affected foot was evaluated by using visual analog scale (VAS), and the peripheral nerve function of the affected foot was evaluated by 10 g nylon thread examination (denoted as 10 g nylon thread test value). Three weeks after the last treatment, the clinical efficacy of patients was evaluated and the overall rate of clinical efficacy was calculated.  Results  There were no statistically significant differences in the comparison of toe amputation rate and limb amputation rate of patients in the 2 groups (P > 0.05). The length of hospitalization and ulcer healing time-consuming of patients in combined group were (23±5) and (41±6) d, respectively, which were significantly shorter than (27±5) and (46±6) d in control group (with t values of 3.08 and 3.18, respectively, both P values < 0.05). The ankle skin temperature of the affected foot of patients in combined group was (34.1±1.5) ℃, and the ankle-brachial index was 0.72±0.08 three weeks after the last treatment, which were significantly higher than (32.1±1.6) ℃ and 0.58±0.09 before the first treatment within the group (with t values of 5.10 and 6.37, respectively, P < 0.05) and (31.8±1.1) ℃ and 0.59±0.09 three weeks after the last treatment in control group (with t values of 6.88 and 5.49, respectively, P < 0.05). The pain VAS score of the affected foot of patients in combined group 3 weeks after the last treatment was significantly lower than that before the first treatment within the group and 3 weeks after the last treatment in control group (with t values of 8.16 and 6.83, respectively, both P values < 0.05), and the 10 g nylon thread test value was significantly higher than that before the first treatment within the group and 3 weeks after the last treatment in control group (with t values of 6.15 and 4.23, respectively, both P values < 0.05). Three weeks after the last treatment, the overall rate of clinical efficacy of patients in combined group was 96.7% (29/30), which was significantly higher than 63.6% (14/22) in control group, χ2=7.51, P < 0.05.  Conclusions  Tibial periosteal distraction combined with antibiotic bone cement has good clinical effects in the treatment of diabetic foot ulcers. It can shorten the length of patients' hospitalization, promote the healing of the ulcers, reduce the pain in the affected foot, and improve the blood supply and peripheral nerve function in the affected foot.
Original Article
Clinical efficacy of anterolateral thigh free fat flap transplantation with vascular anastomosis for reconstructing facial depressed scars
Li Heng, Du Yuting, He Ting, Wang Jingxiang, Zheng Jinwang, Li Qingzhe, Yang Xuekang
2025, 41(7): 665-672. doi: 10.3760/cma.j.cn501225-20241227-00510
Abstract:
  Objective  To investigate the clinical efficacy of anterolateral thigh free fat flap (hereinafter referred to as fat flap) transplantation with vascular anastomosis for reconstructing facial depressed scars.  Methods  This study was a retrospective observational study. Twelve patients (5 males and 7 females, aged 15-67 years) with facial depressed scars who met the inclusion criteria were treated at the First Affiliated Hospital of Air Force Medical University from June 2017 to September 2023. Before surgery, the patient and observer scar assessment scale (POSAS) was used to evaluate the facial scar condition of the patients. Scar depression area was measured ranging from 5 cm×4 cm to 14 cm×7 cm, with a depth from 6 to 12 mm. All cases were reconstructed with fat flaps. The harvested fat flaps ranged 6 cm×5 cm to 15 cm×8 cm in size, with vascular pedicle lengths ranging from 4 to 7 cm. Intraoperatively, the number of perforator vessels observed was as follows: 1 perforator in 2 cases, 2 perforators in 7 cases, and 3 perforators in 3 cases. Fat flaps were transplanted to the recipient sites, with the main trunks of its perforator vessels and accompanying veins anastomosed to the recipient arteries and veins. Donor site wounds were closed primarily. Postoperatively, the survival of fat flap, vascular crisis, and the healing of donor site incision were observed. During follow-up, the facial contour was observed, the long-term reintervention at recipient sites was recorded, and the scars formed at both donor and recipient incisions were observed. The function of donor limb was assessed. At the last follow-up, the scar condition at recipient site was evaluated using the two subscales of POSAS (the observer scale and the patient self-rating scale), respectively.  Results  One patient developed a mild hematoma due to bleeding within 24 hours after surgery. After timely removal of the hematoma and enhanced drainage, the fat flap survived. The fat flaps of the other patients survived completely with no vascular crisis occurred. The donor site incision of 1 patient developed infection 7 days after surgery and healed after timely dressing changes, while the donor site incisions of the remaining patients all healed smoothly. During the follow-up of 6-26 months, significant improvement in facial symmetry was observed in all patients, with natural fullness achieved. Autologous microlipofilling was performed in 2 patients at 6 months and 10 months postoperatively, respectively. Local liposuction contouring was conducted in 1 patient at 12 months postoperatively. The scars at the donor and recipient sites were mild. No functional impairment at donor sites was recorded, and the motor and sensory functions of the affected limbs were normal. At the last follow-up, the observer scale assessment showed that the scores for vascularity, thickness, roughness, pliability, pigmentation, and overall assessment of the scars in the recipient areas were 2.1±0.5, 1.9±0.7, 3.0±0.7, 2.1±1.2, 3.8±1.1, and 2.8±0.5, respectively, which were significantly lower than 4.2±0.9, 5.1±1.0, 4.2±1.5, 4.6±1.4, 4.8±1.2, and 5.2±1.0 before surgery (with t values of 7.24, 11.70, 4.31, 9.57, 4.17, and 9.30, respectively, P < 0.05). The patient self-rating scale assessment showed that the scores for pain, pruritus, color, stiffness, irregularity, thickness, and overall satisfaction of the scars in the recipient areas were 1.3±0.5, 1.3±0.4, 1.9±1.0, 2.3±1.1, 1.8±0.8, 1.9±0.8, and 1.9±0.7, respectively, which were significantly lower than 2.9±1.0, 2.6±0.9, 4.2±1.5, 5.3±2.0, 4.0±1.2, 4.6±1.3, and 4.8±1.4 before surgery (with t values of 6.09, 5.20, 8.07, 9.17, 8.00, 8.60, and 8.81, respectively, P < 0.05).  Conclusions  Transplantation of the fat flaps with vascular anastomosis can safely and effectively reconstruct facial depressed scars, and significantly improve the aesthetic contour and scar-related symptoms. This technique yields stable long-term outcomes with high patient satisfaction, demonstrating high value of clinical application.
Effects of medial plantar artery perforator flap transplantation in the reconstruction of palmar scar contracture
Yu Yuzhi, Dong Shunan, Yu Tian, Jiang Jiyong, Li Xiaogen
2025, 41(7): 673-679. doi: 10.3760/cma.j.cn501225-20240726-00281
Abstract:
  Objective  To investigate the effects of medial plantar artery perforator flap in the reconstruction of palmar scar contracture.  Methods  This study was a retrospective observational study. From January 2016 to January 2023, 15 patients with palmar scar contracture who met the inclusion criteria were admitted to Guangzhou Peace Orthopedic Hospital, including 12 males and 3 females, aged 15 to 50 years. Before surgery, the Michigan Hand Outcomes Questionnaire (MHQ) scores for the affected hands ranged from 58 to 77, and the total active motion for the affected hands ranged from 190° to 220°. The skin and soft tissue defect area after scar excision on the palmar side of the affected hands was 5.2 cm×3.2 cm to 7.2 cm×6.0 cm. According to the location and area of the wounds, the defects were repaired using either medial plantar artery superficial perforator flaps or combined flaps of the cutaneous perforator of superficial branch of medial plantar artery and medial branch of medial plantar artery deep branch. The area of the harvested flaps was 5.5 cm×3.5 cm to 7.5 cm×6.8 cm. The donor site wounds on the feet were repaired using superficial circumflex iliac artery perforator flaps. Postoperatively, the survivals of the medial plantar artery perforator flaps and superficial circumflex iliac artery perforator flaps were observed. After survival of the flaps, patients were guided for rehabilitation exercises for the affected hands. Regular outpatient follow-up was conducted after surgery to observe the appearance, color, and texture of the medial plantar artery perforator flaps, and the recovery of foot function. At the final follow-up, the two-point discrimination distance of the medial plantar artery perforator flap was measured, the function of the affected hands was evaluated using the trial criteria for evaluation of partial function of upper extremity by the Hand Surgery Society of Chinese Medical Association and the MHQ.  Results  Postoperatively, two patients experienced vascular crisis of the medial plantar artery perforator flaps, while the flaps survived after emergency exploration; the medial plantar artery perforator flaps and superficial circumflex iliac artery perforator flaps survived in other patients. Follow-up for 6 to 18 months postoperatively showed that the medial plantar artery perforator flaps had no bulky appearance, similar color and texture to the surrounding skin, and the foot functions such as running and jumping were not affected. At the final follow-up, the two-point discrimination distance of the medial plantar artery perforator flap ranged from 7 to 10 mm, with an average of 8 mm; the affected hand function was rated as excellent in 12 cases and good in 3 cases; the MHQ scores of the affected hand function ranged from 81 to 95, and the patients were satisfied with the postoperative appearance, pain relief, and functional recovery of the affected hand.  Conclusions  The medial plantar artery perforator flap is used for the reconstruction of palmar scar contracture. The flap is easy to harvest, and has a high survival rate, resulting in good postoperative recovery of the flap sensation and function of the affected hand, and minimal donor site injury in the foot. It is therefore worthy of clinical promotion.
Clinical application effects of the pedicled anterior intercostal artery perforator flap in breast reconstruction after breast-conserving surgery for breast cancer
Yin Ansi, Wu Bin, Quan Yi, Fu Hua, Zuo Huaiquan, Huang Mingquan, Li Yixian, Chen Jianzhe, Song Dajiang, Li Zan, Pan Guangrui
2025, 41(7): 680-687. doi: 10.3760/cma.j.cn501225-20240625-00249
Abstract:
  Objective  To investigate the clinical application effects of the pedicled anterior intercostal artery perforator flap in breast reconstruction after breast-conserving surgery for breast cancer.  Methods  This study was a retrospective observational study. From January to December 2023, 16 female breast cancer patients who met the inclusion criteria were hospitalized in the Department of Breast Surgery of the Affiliated Hospital of Southwest Medical University, with the age of (48±8) years. The pedicled anterior intercostal artery perforator flap was used for breast reconstruction of patients after breast-conserving surgery. After complete resection of tumor tissue, a "crescent-shaped" incision was designed at the inframammary fold. The pedicled anterior intercostal artery perforator flap was harvested based on the tumor location and the defect area after tumor removal. The flap was de-epithelialized, coapted, and rotated anterogradely or retrogradely to fill the defect. The donor site wound was closed with layered sutures. The following parameters were recorded: breast tissue loss volume during surgery, surgical duration, retention duration of the drainage tube, positive proportion of tumors in the breast incision margin tissue, breast loss ratio, flap survival, and incidence ratio of complications after operation. Patients were followed up for local recurrence or distant metastasis of tumor. At the last follow-up, the Ueda score was used to evaluate cosmetic outcomes of reconstructed breasts after breast-conserving surgery, and the Breast-Q scale version 2.0 was applied to assess patients' satisfaction and quality of life with breast reconstruction after breast-conserving surgery.  Results  The breast tissue loss volume during surgery in this group of patients was 20-128 (59±34) cm3, the surgical duration was 105-200 (143±27) min, the retention duration of the drainage tube was 3-7 (4.6±1.0) d, and the positive proportion of tumors in the breast incision margin tissue was 1/16, with breast loss ratio of 0. After the surgery, the patient's transplanted flaps all survived. One patient had postoperative fat liquefaction in the surgical area, and the incidence ratio of postoperative complications was 1/16. The patients were followed up for 3-12 (11±4) months, and no local breast cancer recurrence or distant metastasis occurred. At the last follow-up, the cosmetic score of breast reconstruction after breast-conserving surgery were excellent in 6 cases, good in 8 cases, and fair in 2 cases, with an excellent and good ratio of 14/16. At the last follow-up, the highest score in the evaluation of patients' satisfaction with breast reconstruction and quality of life after breast-conserving surgery was the satisfaction with the surgeons, with a score of 59-100 (91±13), followed respectively by physiological health of the chest with a score of 60-100 (77±14), psychological health with a score of 35-100 (74±20), breast satisfaction with a score of 55-100 (73±13), satisfaction with information acquisition with a score of 53-100 (70±14), and sexual health with a score of 34-100 (70±23).  Conclusions  The pedicled anterior intercostal artery perforator flap is safe and reliable for breast reconstruction after breast-conserving surgery for breast cancer, and can achieve high cosmetic effects and patient satisfaction. This flap is simple in design, easy to operate and highly reproducible, and is worthy of clinical promotion and application.
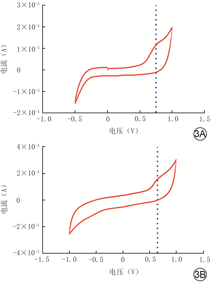
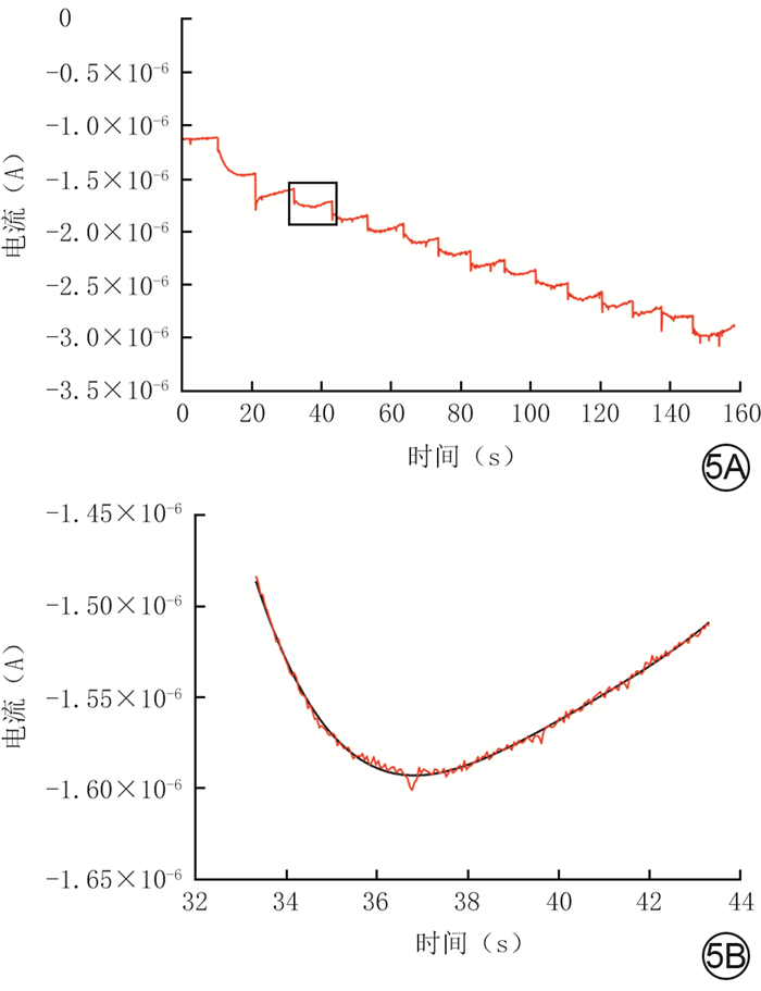
Development and performance evaluation of a laser-induced graphene-based multimodal electrochemical sensor for monitoring the burn wound microenvironment
Liu Shaoyuan, Zhang Yuheng, Huang Rong, Lyu Zhuomin, Li Xiangdong, Xu Xiaoli, Li Xueyong
2025, 41(7): 688-697. doi: 10.3760/cma.j.cn501225-20250215-00062
Abstract:
  Objective  To develop a laser-induced graphene (LIG)-based multimodal electrochemical sensor for monitoring the burn wound microenvironment and to evaluate its performance.  Methods  This study was an experimental study. LIG three-electrode substrates were functionalized with L-lactate oxidase, polyaniline, and sortase A to fabricate lactate sensor, pH sensor, and bacterial sensor, respectively, thereby constituting the LIG-based multimodal electrochemical sensor. An electrochemical workstation was used to assess the electrochemical performance of the lactate sensor and bacterial sensor by cyclic voltammetry, with voltammetric response curves being plotted. An electrochemical workstation was used to assess the lactate sensor's response to lactate by chronoamperometry (with current-time curve being recorded and calibration curve being plotted during the test in the L-lactic acid solution with a molar concentration of 10-60 mmol/L), the pH sensor's response to pH by open-circuit potential measurement (with open-circuit potential-time curve being recorded and calibration curve being plotted during the test in the standard buffer solutions with pH values ranging from 3 to 8), and the bacterial sensor's response to bacteria by differential pulse voltammetry (with current-voltage curve being recorded and calibration curve being plotted during the test in gradient suspensions of Staphylococcus aureus ranging from 1×103-1×108 colony forming unit (CFU)/mL). The sample size for all the above experiments was 3. The correlation analysis was performed on the current value of the lactate sensor and the lactate concentration, the average value of steady-state open circuit potential of the pH sensor and the pH value, and the peak current value of the bacterial sensor and the bacterial concentration value. Each of the prepared standard test system solutions for lactate, pH value, and bacteria were all aliquoted into 30 samples. The lactate concentration, pH value, and bacterial concentration were determined by the lactate sensor and a L-lactate assay kit, the pH sensor and a precision pH meter, and the bacterial sensor and a microvolume spectrophotometer, respectively. Fifteen pairs of matched data were selected according to the random number table method for comparison, and the correlation analysis was performed on the measured values of each sensor and the reference values of the corresponding standard methods.  Results  The voltammetric response curves showed that the lactate sensor and the bacterial sensor exhibited distinct oxidation peak currents at oxidation peak potentials of approximately 0.74 and 0.65 V, respectively. In the lactate sensor, the change in current after addition of phosphate buffered solution was (0.025±0.041) μA, which was significantly lower than that after addition of L-lactate solution (0.228±0.117) μA (t=2.85, P < 0.05). In the L-lactic acid solution with a molar concentration of 10-60 mmol/L, the current value of the lactate sensor was significantly linearly correlated with the lactate concentration (r=0.98, P < 0.05). In the standard buffer solutions with pH values ranging from 3 to 8, the average value of steady-state open circuit potential of the pH sensor was significantly linearly correlated with the corresponding pH values (r=0.96, P < 0.05). In gradient suspensions of Staphylococcus aureus ranging from 1×103 to 1×108 CFU/mL, the peak current value of the bacterial sensor was significantly linearly correlated with the logarithm of bacterial concentration (r=0.95, P < 0.05). There were no statistically significant differences between the lactate concentrations measured by the lactate sensor and by the L-lactate assay kit, pH values measured by the pH sensor and by the precision pH meter, and logarithmic bacterial concentrations measured by the bacterial sensor and by the microvolume spectrophotometer (P > 0.05), but there were significant positive correlations between the two (with r values of 0.97, 0.96, and 0.95, respectively, P < 0.05).  Conclusions  After functional modification, the developed LIG-based multimodal electrochemical sensor enables accurate monitoring of lactate concentration, pH value, and bacterial load in the burn wound microenvironment with the results being of high sensitivity and stability. This platform provides a reliable new approach for non-invasive monitoring of the critical indicators of burn wound microenvironment, which shows great prospects for clinical application.
Review
Research advances on the application of exosomal multi-omics analysis technology in warning and diagnosis of burn sepsis
Chen Yuxi, Luo Liang, Jiang Shiqing, Wang Yunchuan, Hu Dahai
2025, 41(7): 698-703. doi: 10.3760/cma.j.cn501225-20250512-00222
Abstract:
As one of the primary causes of death in burn patients, sepsis presents challenges in early warning and diagnosis, mainly due to its nonspecific clinical manifestations and the limitations of traditional biomarker detection efficiency. As an important carrier of intercellular information transfer, exosomes and their contents (RNAs, proteins, and metabolites) can reflect the pathophysiological status of the body, thus attracting significant attention in the field of disease diagnosis. This review aims to summarize the research advances of exosomal multi-omics (transcriptomics, proteomics, metabolomics, etc.) analysis technologies in the warning and diagnosis of burn sepsis, and explore their application potential in revealing disease mechanisms, screening specific early biomarkers, and integrating emerging bioinformatics technologies. The goal is to provide new strategies and directions for achieving the precision diagnosis and treatment of burn sepsis.
Research advances on the application of skin organoids in wound repair
Zhao Siyuan, Li Wei, Kong Weishi, Guan Dingding, Sun Yu
2025, 41(7): 703-707. doi: 10.3760/cma.j.cn501225-20240901-00323
Abstract:
Skin is an organ with complex structure and function. Extensive skin defects and chronic non-healing wounds cause serious problems for patients and clinicians, while traditional repair methods are still not able to completely reconstruct the structure and function of skin. To achieve complete reconstruction of skin structure and function is a great challenge that needs to be solved in the field of wound repair. Induced pluripotent stem cells, which have the potential to differentiate into any human cells, are widely used in the field of regenerative medicine research. In recent years, skin organoids constructed through in vitro cultivation of stem cells contain epidermis, dermis, and multiple skin appendages, which overcomes the limitations of traditional skin substitute and opens new avenues for wound repair and its basic research. This review outlines the status of the research and application of skin organoids and discusses their current challenges in clinical translation and prospects for development.
Academic Information
Summary of the 20th Chinese Conference on Burns and Wound Repair
Wang Peng, Xie Qiuhong, Mo Yu, Liang Guangping, Qu Bin, Luo Gaoxing
2025, 41(7): 708-710. doi: 10.3760/cma.j.cn501225-20250702-00288
Abstract:
The 20th Chinese Conference on Burns and Wound Repair was successfully held in Chengdu, the lotus city from June 12th to 14th, 2025. Themed "Interdisciplinary, Cutting-edge Innovation, and Excellence", this conference featured a main venue and five parallel sessions. Over the three-day event, participants engaged in in-depth discussions and exchanges focusing on acute and chronic wound repair, scar prevention and reconstruction, critical burn treatment, rehabilitation, and nursing care. The conference showcased the latest advancements in burn and wound repair medicine, injecting new momentum into the discipline's development.